云南大学2025年推荐免试研究生拟录取名单!
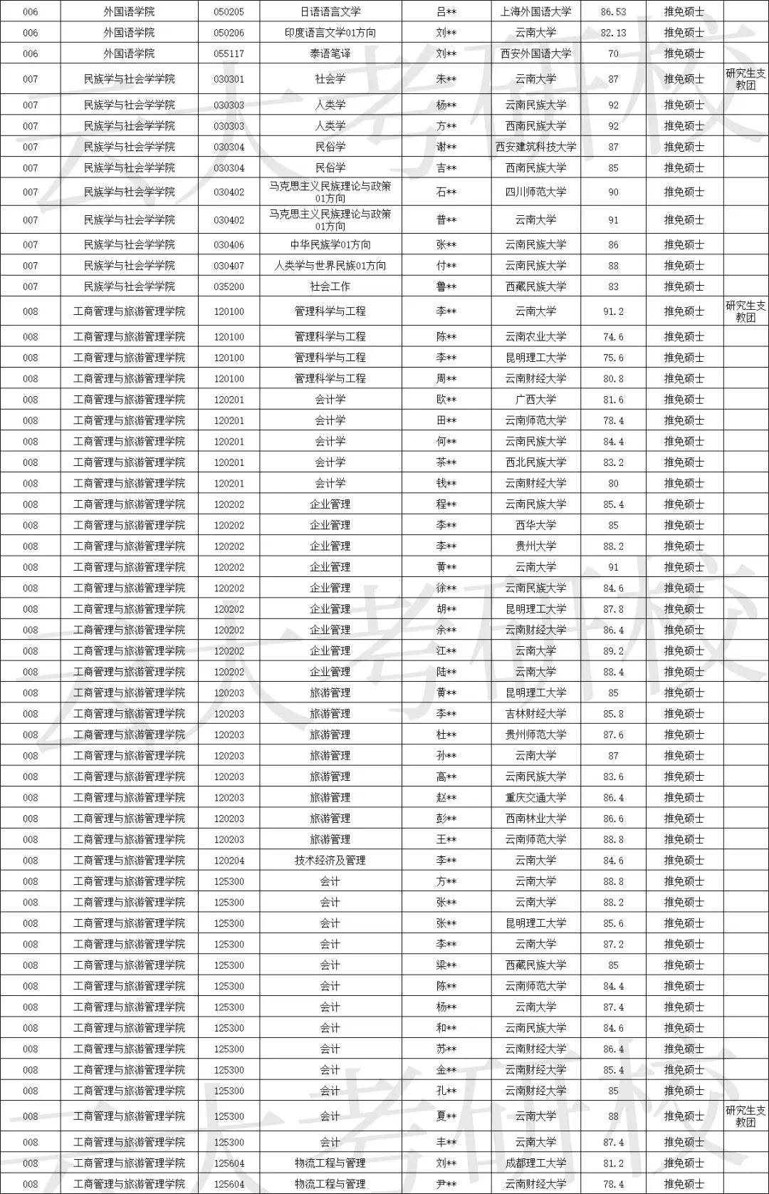
根据工作安排和相关文件要求,经考生填报、学院择优复试及录取、研究生院数据核查,现将云南大学2025年推荐免试研究生拟录取名单予以公示(见下图)。





*内容来源:云南大学研究生院
免责声明:本站所有的内容均来源于互联网采集或网友投稿提供,不能保证内容的真实性、完整性,仅供个人研究、交流学习使用,不涉及任何商业盈利目的。如果资料有误与官方发布不一致,请与官方最新发布为准,请联系本站管理员予以更改,如果涉及版权等问题,请联系本站管理员予以删除。
维权指引 |
权限说明 |
下载说明 |
内容投诉考研云分享 » 2025年云南大学录取名单(推免)