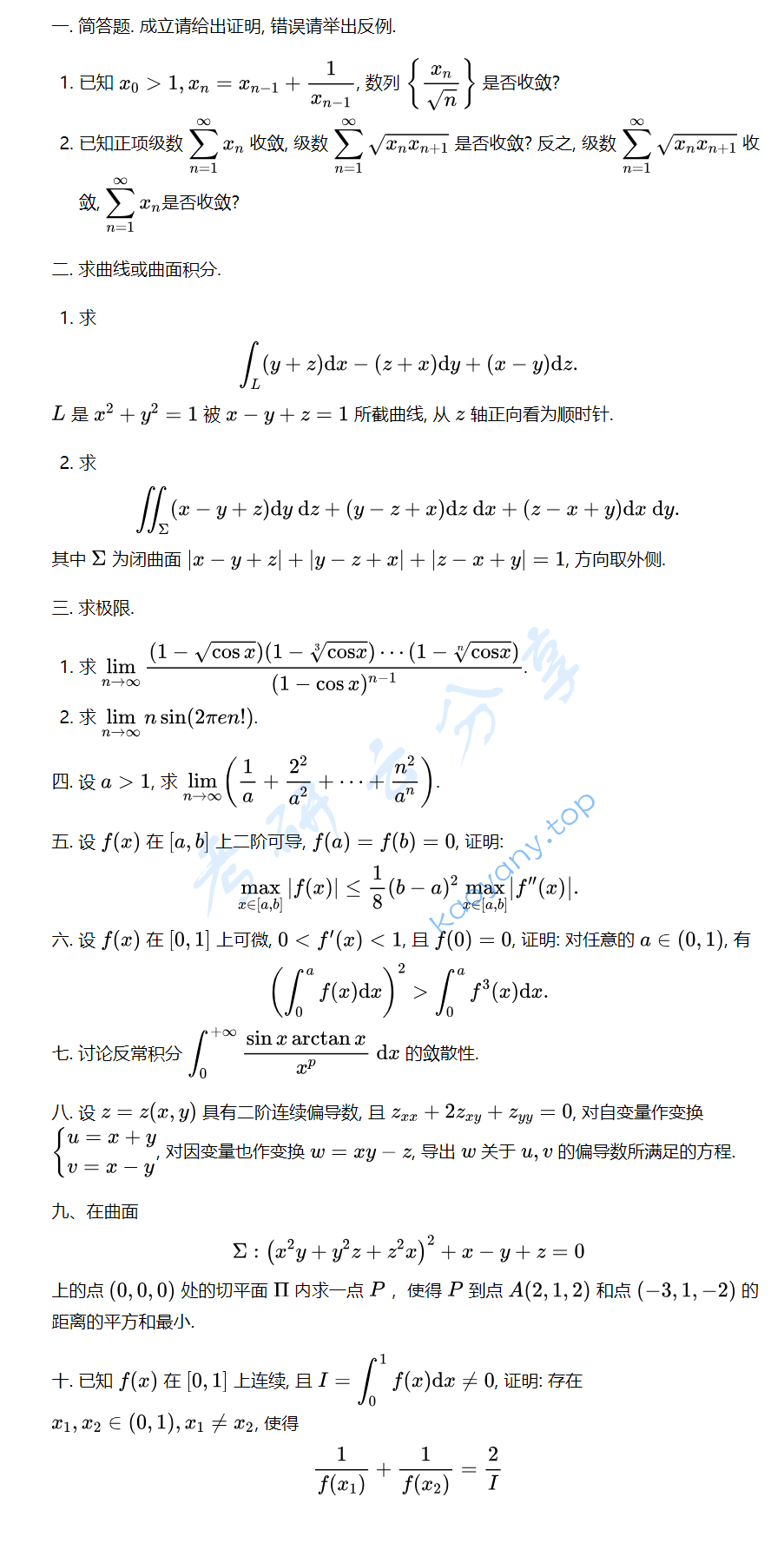
当前位置:考研云分享 专业课真题 2023年上海财经大学601数学分析考研真题 专属内容 会员 专属内容 您还未登录,请登录后查看资料 登录 上海财经大学数学分析 上海财经大学 数学分析 免责声明:本站所有的内容均来源于互联网采集或网友投稿提供,不能保证内容的真实性、完整性,仅供个人研究、交流学习使用,不涉及任何商业盈利目的。如果资料有误与官方发布不一致,请与官方最新发布为准,请联系本站管理员予以更改,如果涉及版权等问题,请联系本站管理员予以删除。 维权指引 | 权限说明 | 下载说明 | 内容投诉考研云分享 » 2023年上海财经大学601数学分析考研真题